SY897132L Link Replicator
1.5 Gbps Link Replicator from Microchip for Fiber Channel, Gigabit Ethernet, HDTV and SATA
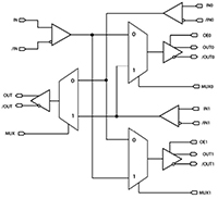
Microchip's SY897132L is a link replicator that provides both serial loop replication as well as serial loopback control functions. It is a high performance and works up to 1.5 Gbps on 3.3 V power supplies. The SY897132L is ideal for Fibre Channel, Gigabit Ethernet, HDTV and SATA applications. Other applications include internal/external connection routing in host bus adaptors as well as hot-pluggable links between switch cards.
| Features | Applications | |
|
|
SY897132L
| Kép | Gyártói cikkszám | Leírás | Available Quantity | Ár | ||
|---|---|---|---|---|---|---|
![]() | ![]() | SY897132LKG | IC LINK REPL FIBRE CHAN 28-TSSOP | 0 - Immediate | $2,595.18 | Részletek megtekintése |






